Zestaw startowy – pokarm dla żółwia lądowego
Pierwotna cena wynosiła: 49,97 zł.45,00 złAktualna cena wynosi: 45,00 zł.Poprzednia najniższa cena: 45,00 zł.
Promieniowanie UV (ultrafioletowe) jest rodzajem energii, która dociera do nas ze słońca, ale może być również emitowana przez sztuczne źródła światła, takie jak kompaktowe świetlówki UVB, świetlówki T5, żarówki rtęciowo-żarowe oraz metahalogeny – wszystkie powszechnie stosowane w terrarystyce.
Promieniowanie to jest szczególnie istotne dla zdrowia wielu organizmów, w tym zwierząt w terrariach, które w naturalnych warunkach czerpią promieniowanie UVB, aby wytworzyć witaminy D3. Jednakże, kiedy zaczynamy sprawdzać specyfikacje źródła UV na opakowaniu, napotykamy różne wartości i jednostki, które mogą być trudne do zrozumienia. Zatem jak dobrać żarówkę UVB dla gadów? Jak porównać dane w specyfikacji i co one tak naprawdę oznaczają?
Promieniowanie ultrafioletowe dzieli się na trzy główne typy:
W terrarystyce to właśnie promieniowanie UVB jest kluczowe, ponieważ zwierzęta takie jak jaszczurki i żółwie, które żyją w naturalnym słońcu, potrzebują tego rodzaju promieniowania do produkcji witaminy D3, co jest niezbędne do wchłaniania wapnia i prawidłowego rozwoju kości.
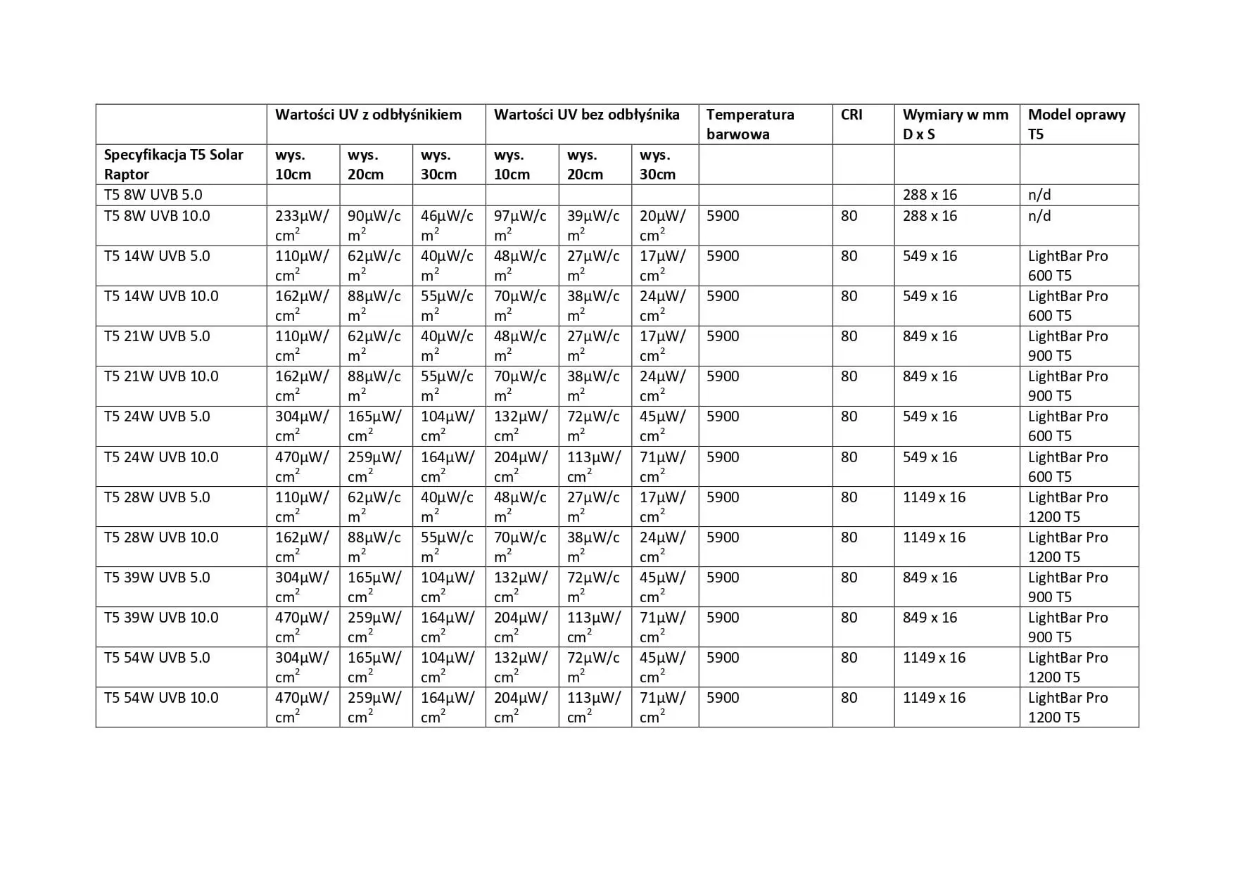
Aby zrozumieć jakie źródło światła UVB będzie najlepsze dla Twojego gada, jak dobrać ją pod wielkość zbiornika oraz jak czytać specyfikację, opiszemy parametry na przykładzie świetlówki marki Solar Raptor o mocy 39W z przeznaczeniem dla gadów pustynnych: T5 39W UVB 10.0 Co ważne wszystkie źródła światła testujemy w oprawach z odbłyśnikiem, który defacto podwaja ilość promieniowania niemniej jednak producent świetlówek Solar Raptor uwzględnia już ten fakt przy zastosowaniu firmowej oprawy LightBar Pro.
Parametry UV wg danych producenta Econlux:

Producent podaje wartość natężenia promieniowania UVB w jednostkach µW/cm² (mikrowaty na centymetr kwadratowy), co jest miarą rzeczywistego natężenia promieniowania przy określonej odległości od źródła światła w warunkach sztucznego oświetlenia.[1]
Niektórzy producenci podają tzw. wskaźnik UVI przy opisie specyfikacji świetlówek T5. Te wartości oznaczają intensywność promieniowania UV, które określa się w warunkach pełnego nasłonecznienia.
Skala UVI jest bardziej użyteczna w kontekście promieniowania słonecznego, a nie w przypadku sztucznego oświetlenia. W zależności od odległości od świetlówki, intensywność promieniowania UV może się różnić, co sprawia, że skala UVI nie zawsze jest idealnym narzędziem do oceny wydajności świetlówek UV w terrariach. Jednak wartości µW/cm² bardzo łatwo można przeliczyć wg wzoru, aby przyjąć wskaźnik UVI.
Wartość indeksu UVI jest zależna od natężenia promieniowania UV w jednostkach mW/cm² (miliwaty na centymetr kwadratowy). Wskaźnik UVI jest obliczany jako:[2]

Zakładając że świetlówka innego producenta podaje UVI na poziomie 8,5 przy odległości 30cm. Zatem możemy obliczyć natężenie promieniowania UV (Iₓ)= mW/cm²:

Aby dostosować tą wartość do warunków sztucznego oświetlenia w terrarium trzeba przyjąć, że 1 mW/cm² to to samo co 1 µW/cm², zaś aby uzyskać wskaźnik UVI dla sztucznego oświetlenia, dzielimy wartość µW/cm² przez 25.
Podsumowując, świetlówka T5 Solar Raptor 39W 10.0 zamontowana 30cm od podłoża dająca 164 µW/cm² ma wskaźnik UVI na poziomie 6,56
Wartość 164 µW/cm² oznacza, że w warunkach sztucznego oświetlenia na powierzchni 1 cm² pada promieniowanie o natężeniu 164 mikrowatów. Znając już te dane możemy określić jak intensywne promieniowanie UVB będzie potrzebował dany gatunek zwierzęcia.
Jeśli przyjąć że terrarium jest wysokie na 50cm do tego dojdzie podłoże na 5-10cm oraz oprawa obniży świetlówkę o 5-10cm to nasze źródło światła będzie oscylować na poziomie 30-40cm od zwierzaka.
Dzięki takiemu natężeniu promieniowanie UVB w świetlówce Solar Raptor zapewni odpowiednią ilość energii do produkcji witaminy D3 u zwierząt, które preferują wysoki poziom UV.
Schemat intensywności UVI można sprawdzić np. na stronie www.weatheronline.pl Poziom i zakres UV jest standardowy w skali całego globu od 0 – 11+ przy czym 0 oznacza znikomy poziom UV a 11 i więcej – ekstremalny. Każdy z zakresów określany jest kolorem wg wzoru poniżej.

Jeśli przyjąć, że wskaźnik UVI w warunkach naturalnego światła słonecznego od kwietnia do września w rejonie basenu morza śródziemnego wynosi od 5-8 UVI to średnia w tym rejonie wynosi 6,5 UVI. A więc gatunki gadów, które w naturze występują na tym obszarze np. wszystkie z rodzaju testudo (żółw grecki testudo hermanni, żółw śródziemnomorski testudo greaca, żółw obrzeżony testudo marginata) otrzymają 164 µW/cm² czyli dokładnie średnią ilość promieniowania UVI jaka występuje w naturze w przeliczeniu na mW/cm² na tym obszarze.
Jest to wartość charakterystyczna dla intensywnych warunków słonecznych (wskaźnik UVI wysoki). Producenci takich świetlówek często przyjmują, że świetlówka generuje promieniowanie UVB na poziomie porównywalnym z pełnym słońcem. Trzeba więc pamiętać że nie wszystkie zwierzęta egzotyczne lubią tak intensywne promieniowanie co więcej w naturze często w upalne dni chowają się one przed słońcem a w cieniu poziom UV zawsze jest niższy.
Podsumowując, świetlówka T5 o mocy 39W 10.0 o długości 849mm, z natężeniem promieniowania 164 µW/cm² jest w stanie zapewnić odpowiednią ilość promieniowania UVB, które wspiera zdrowie zwierząt pustynnych w terrarium o wymiarach 120x50x50 bez nadmiernej ekspozycji na szkodliwe promieniowanie. Jest to szczególnie ważne, aby unikać nadmiernej ilości promieniowania UVB, które mogłoby spowodować więcej szkód niż pożytku.
Analogicznie stosuje się świetlówki T5 z UV 10.0 o mocy 24W (krótsze) i 54W (dłuższe) w zależności od długości terrarium.
Podobnie jak na poprzednim przykładzie stosuje się świetlówki kompaktowe. W zależności od producenta ilość wytworzonego promieniowania podawana jest często bez odbłyśnika dlatego stosując oprawy aluminiowe można w łatwy sposób podwoić ilość promieniowania. Dzięki temu żarówka może świeci wyżej aniżeli wskazują dane na opakowaniu. Samo dobranie żarówki odbywa się w podobny sposób jak na podanym wyżej przykładzie.
Świetlówki UVB to kluczowy element wyposażenia terrarium, zapewniający gadom, szczególnie tym żyjącym w warunkach pustynnych, niezbędne promieniowanie UVB. Umożliwiają one produkcję witaminy D3, co jest niezbędne do prawidłowego metabolizmu wapnia i utrzymania zdrowych kości.
W naszej ofercie można znaleźć różne rodzaje świetlówek UVB, w tym:
Nasza oferta obejmuje wszystkie wymienione produkty, dostosowane do różnych potrzeb gadów i preferencji hodowców. Zapewniamy najwyższą jakość, gwarantując zdrowie i komfort Twoich zwierząt. Zapraszamy do zapoznania się z ofertą!
[1] Źródło: Econlux
Nie masz jeszcze konta?
Utwórz konto